long division with polynomials worksheet

Polynomial Long Division Worksheet Make Polynomial Division Simple with we have 9 Images about Polynomial Long Division Worksheet Make Polynomial Division Simple with like 10+ Long Division Worksheet Templates | Sample Templates, Use long division to divide polynomials | College Algebra and also Dividing Polynomials - roms pure. Here you go:

Polynomial Long Division Worksheet Make Polynomial Division Simple With

Polynomial Long Division Worksheet Make Polynomial Division Simple with www.pinterest.com

worksheet polynomials polynomial dividing binomial monomial trinomial monomials tes

10+ Long Division Worksheet Templates | Sample Templates

10+ Long Division Worksheet Templates | Sample Templates www.sampletemplates.com

polynomial polynomials dividing calamityjanetheshow

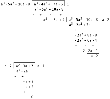
H.C.F. Of Polynomials By Long Division Method | H.C.F. By The Method Of

H.C.F. of Polynomials by Long Division Method | H.C.F. by the Method of www.math-only-math.com

division polynomials method math hcf iii

How To Check Long Division Polynomials With Remainders - Worksheet Kids

How To Check Long Division Polynomials With Remainders - Worksheet Kids worksheetkids.fun

polynomials cuemath remainders tricks

Grade 8 - Division Of Polynomials | Math Practice, Questions, Tests

Grade 8 - Division of Polynomials | Math Practice, Questions, Tests ph.edugain.com

grade polynomials worksheets worksheet division dividing math polynomial class monomials problems edugain maths questions practice icse turkey 4th related contents

Use Long Division To Divide Polynomials | College Algebra

Use long division to divide polynomials | College Algebra courses.lumenlearning.com

division polynomials polynomial dividing precalculus algebra divide college math use explain rational steps using synthetic equation algorithm functions divided factor

Polynomial Long Division - MathBitsNotebook(A2 - CCSS Math)

Polynomial Long Division - MathBitsNotebook(A2 - CCSS Math) mathbitsnotebook.com

division polynomials polynomial missing terms mathbitsnotebook hold replace algebra2

10+ Long Division Worksheet Templates | Sample Templates

10+ Long Division Worksheet Templates | Sample Templates www.sampletemplates.com

division

Dividing Polynomials - Roms Pure

Dividing Polynomials - roms pure purerom.blogspot.com

polynomials dividing divide

Use long division to divide polynomials. Polynomials cuemath remainders tricks. Worksheet polynomials polynomial dividing binomial monomial trinomial monomials tes